Tarikh: 13 Syaban 1447    ( )

Penyedia SMT

Ijazah Sarjana Muda Sains

Kepujian ( Matematik ) USM

SET SOALAN MATEMATIK TAMBAHAN SPM (SMT)  

Format soalan peperiksan matematik tmbahan SPM kertas 1 & kertas 2

Setiap soalan ditunjukkan bagaimana untuk merangka jawapan

    ( kemahiran menyelesaikan masaalah) & penyelesaian

AKSES KE SMT

Pelajar boleh akses dalam halaman BM atau BI secara berasingan

    atau bersama mengikut pilihan masing-masing.

Nota bagi setiap topik juga disediakan.

BAGAIMANA UNTUK AKSES KE SMT

Yuran untuk akses ke halaman (SMT-SPM)  -RM50.  

     Yuran akses dibayar sekali sahaja. Tiada lagi bayaran lain

Pembayaran secara online ( Pastikan emel anda sah & masih aktif )

Setelah pembayaran ,sila buka e mel anda (dengan tajuk) :-

  1. Payment Received==> Maklumat pembayaran yang telah anda buat.

  2. Pengesahan Pembayaran==> Maklumat pautan &katalaluan (link & password)

    untuk akses ke Halaman SMT.

Akses ke halaman berkenaan akan tamat pada tarikh Kertas Peperiksaan

    Matematik Tambahan SPM tahun semasa diadakan.

 

Contoh daftar masuk ke SMT:-

HALAMAN PENGENALAN SMT-TOPIK TINGKATAN 4 (Versi BM) 

 

 

Kemahiran menyelesaikan masalah -Anda akan belajar untuk memahami konsep

      matematik yang ada dalam soalan yang ditanya. Kemudian, anda akan ditunjukkan

      bagaimana untuk merangka jalan kerja yang sesuai berdasarkan konsep berkenaan.

  Penyelesaian - Ini adalah jawapan yang dicadangkan  yang perlu anda

      tulis dalam kertas jawapan peperiksaan.

  Bilangan set soalan peperiksaan percubaan akan ditambah dari semasa ke semasa.

 Setelah anda menguasai kemahiran menyelesaikan masalah

      selesaikan pula semua soalan yang terdapat dalam DIY.

 

NOTA PEMERKASAAN TOPIK TINGKATAN 4

Fungsi

Persamaan & Fungsi Kuadratik

Sistem Persamaan

Indeks,Surd & Logarithma

Janjang

Hukum Linear

Geometri Koordinat

Vektor

Penyelesaian Segitiga

Nombor Indeks

 

NOTA PEMERKASAAN TOPIK TINGKATAN 5

Sukatan Membulat

Pembezaan

Pengamiran

Trigonometri

Pilihatur & Gabungan

Taburan Kebarangkalian

Kinematik Gerakan Linear

Pengaturcaraan Linear

 

SOALAN PEMERKASAAN PEPERIKSAAN-KERTAS 1

Petunjuk : Q = Soalan, S = Set.

Contoh: Q1-S1 = Soalan nombor 1, dalam set nombor 1

 
  SET 1 SET 2 SET 3 SET 4 SET 5
Q1-S1 Persamaan & Fungsi kuadratik Q1-S2 Q1-S3 *Q1-S4 Q1-S5
Q2-S1 Fungsi Q2-S2 Q2-S3 Q2-S4 Q2-S5
Q3-S1 Huum Linear Q3-S2 Q3-S3 Q3-S4 Q3-S5
Q4-S1 Trigonometri  Q4-S2 Q4-S3 Q4-S4 Q4-S5
Q5-S1 Pilihatur & Gabungan Q5-S2 Q5-S3 Q5-S4 Q5-S5
Q6-S1 Fungsi Kuadratik Q6-S2 Q6-S3 Q6-S4 Q6-S5
Q7-S1 Pengamiran Q7-S2 Q7-S3 Q7-S4 Q7-S5
Q8-S1 Geometri Koordinat Q8-S2 Q8-S3 Q8-S4 Q8-S5
Q9-S1 Indeks , Surd & Logarithma Q9-S2 Q9-S3 Q9-S4 Q9-S5
Q10-S1 Sukatan Membulat Q10-S2 Q10-S3 Q1O-S4 Q10-S5
Q11-S1 Vektor Q11-S2 Q11-S3 Q11-S4 Q11-S5
Q12-S1 Kebarangkalian
(Ulangkaji)
Q12-S2 Q12-S3 Q12-S4 Q12-S5
Q13-S1 Janjang Q13-S2 Q13-S3 Q13-S4 Q13-S5
Q14-S1 Pembezaan Q14-S2 Q14-S3 Q14-S4 Q14-S5
Q15-S1 Penggunaan Pembezaan Q15-S2 Q15-S3 Q15-S4 Q15-S5

 

SOALAN PEMERKASAAN PEPERIKSAAN-KERTAS 1

 

  SET 6 SET 7 SET 8 SET 9 SET 10
Q1-S1 Fungsi & Persamaan Kuadratik Q1-S7 Q1-S8 *Q1-S9 Q1-S10
Q2-S1 Function Q2-S7 Q2-S8 Q2-S9 Q2-S10
Q3-S1 Hukum Linear Q3-S7 Q3-S8 Q3-S9 Q3-S10
Q4-S1 Trigonometri
Pembuktian Identiti
Q4-S7 Q4-S8 Q4-S9 Q4-S10
Q5-S1 Pilihatur & Gabungan Q5-S7 Q5-S8 Q5-S9 Q5-S10
Q6-S1 Fungsi Kuadratik Q6-S7 Q6-S8 Q6-S9 Q6-S10
Q7-S1 Pengamiran Q7-S7 Q7-S8 Q7-S9 Q7-S10
Q8-S1 Geometri Koordinat Q8-S7 Q8-S8 Q8-S9 Q8-S10
Q9-S1 Indeks , Surd & Logarithma Q9-S7 Q9-S8 Q9-S9 Q9-S10
Q10-S1 Sukatan Membulat Q10-S7 Q10-S8 Q10-S9 Q10-S10
Q11-S1 Vektor Q11-S7 Q11-S8 Q11-S9 Q11-S10
Q12-S1 Kebarangkalian
(Ulangkaji)
Q12-S7 Q12-S8 Q12-S9 Q12-S10
Q13-S1 Janjang Q13-S7 Q13-S8 Q13-S9 Q13-S10
Q14-S1 Pembezaan Q14-S7 Q14-S8 Q14-S9 Q14-S10
Nilai AnggaraN
Q15-S1  Penggunaan Pembezaan Q15-S7 Q15-S8 Q15-S9 Q15-S10

 

 

SOALAN PEMERKASAAN PEPERIKSAAN-KERTAS 2

 

 

  SET1 SET2 SET3 SET4 SET5
Q1-S1 Geometri Koordinat Q1-S2 Q1-S3 Q1-S4 Q1-SS
Q2-S1 Vektor Q2-S2 Q2-S3 Q2-S4 Q2-S5
Q3-S2 Indices,Surds  & Logarithma Q3-S2 Q3-S3 Q3-S4 Q3-S5
Q4-S1
Fungsi & Persamaan Kuadratik Q4-S2
Kaedah penyesuaian kuasa dua
Q4-S3
Q4-S4

Kaedah penyesuaian kuasa dua
Q4-S5
Q5-S1 Janjang
(Permasalahan)
Q5-S2 Q5-S3 Q4-S4 Q5-S5
Q6-S1 Trigonometri
y = aSinbx
y = aSinbx y = aSinbx y= c +   aSinbx y= c -   aSinbx
Q7-S1 Fungsi Fungsi Surd & log Surd &
log
Surd & log
Q8-S1 Pengamiran
Isipadu yang dijanakan
Q8-S2 Q8-S3 Q8-S4 Q8-S5
Q9-S1 Hukum Linear Q9-S2 Q9-S3 Q9-S4 Q9-S5
Q10-S1 Taburan Kebarangkalian Q10-S2 Q10-S3 Q10-S4 Q10-S5
Q11-S1 Sukatan Membulat Q11-S2 Q11-S3 Q11-S4 Q11-S5
Q12-S1 Penyelesaian Segitiga Q12-S2 Q12-S3 Q12-S4 Q12-S5
Q13-S1 Nombor Indeks Q13-S2 Q13-S3 Q13-S4 Q13-S5
Q14-S1 Pengaturcaraan Linear Q14-S2 Q14-S3 Q14-S4 Q14-S5
Q15-S1 Kinematik Gerakan Linear Q15-S2 Q15-S3 Q15-S4 Q15-S5

 

 

SOALAN PEMERKASAAN PEPERIKSAAN -KERTAS 2

 

  SET6 SET7 SET8 SET9 SET10
Q1-S6 Geometri Koordinat Q1-S7 Q1-S8 Q1-S9 Q1-S10
Q2-S6 Vektor Q2-S7 Q2-S8 Q2-S9 Q2-S10
Q3-S6 Indices,Surds & Logarithma Q3-S7 Q3-S8 Q3-S9 Q3-S10
Q4-S6
Fungsi & persamaan kuadratik Q4-S7 Q4-S8 Q4-S9 Q4-S10
Kaedah penyesuain kuasa dua
Q5-S6 Janjang
Q5-S7
(permasalahan)
Q5-S8 Q5-S9 Q5-S10
Q6-S6 Trigonometri
y= c+aCosbx
y=|aCosbx| y= -tanbx y=  |aSinbx| y= aCosbx
Q7-S6 Sistem Persamaan
(Logarithma)
Q7-S7 Q7-S8
(Logarithma)
Q7-S9 Q7-S10
Q8-S6 Pembezaan Q8-S7
Isipadu yang  dijanakan
Q8-S8
Pengamiran
*Q8-S9
Isipadu yang  dijanakan
Q8-S10

Isipadu yang  dijanakan
Q9-S6 Hukum Linear Q9-S7 Q9-S8 Q9-S9 Q10-S10
Q10-S6 Taburan Kebarangkalian Q10-S7 Q10-S8 Q10-S9 Q10-S10
Q11-S6 Sukatan Membulat Q11-S7 Q11-S8 Q11-S9 Q11-S10
Q12-S6 Penyelesaian Segitiga Q12-S7 Q12-S8 Q12-S9 Q12-S10
Q13-S6 Nombor Indeks Q13-S7 Q13-S8 Q13-S9 Q13-S10
Q14-S6 Pengaturcaraan Linear Q14-S7 Q14-S8 Q14-S9 Q14-S10
Q15-S6 Kinematik Gerakan Linear Q15-S7 Q15-S8 Q15-S9 Q15-S10

SOALAN LANJUTAN PEMERKASAAN

Fungsi Fungsi & Persamaan Kuadratik Sistem Persamaan Indices, Surds & Logarithma Janjang
Hukum Linear Gemetri Koordinat Vektor Penyelesaian Segitiga Nombor Indek


Pembezaan Pengamiran Sukatan Membulat Pilihaturan Taburan Kebarangkalian
Trigonometri Pengaturcaraan Linear  Kinematik Gerakan Lurus

 versi BM

Go to SMT English Version

Daftar Keluar

Meja Bantuan

 

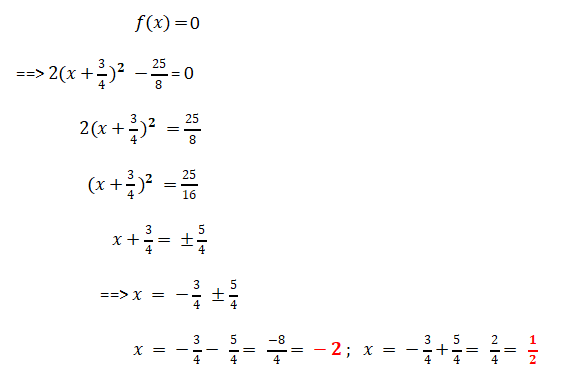
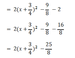
Contoh nota pemerkasaan (Versi BM)

 

 

 

 

 

 

 

 

 

 

 

 

 

 

 

 

 

 

 

 

 

 

 

 

 

 

 

 

 

 

 

 

 

 

 

 

 

 

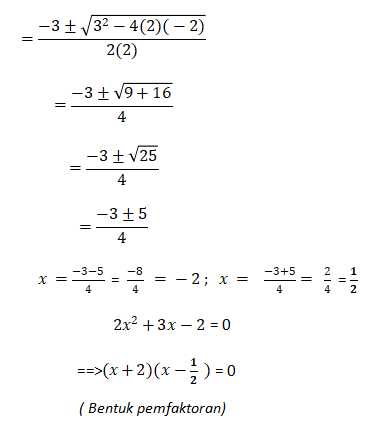
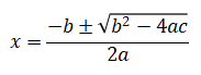
Perhatian : Jika dinyatakan bahawa punca - punca bagi persamaan kuadratik adalah

 dalam titik perpuluhan, boleh terus guna formula  

        

 

Contoh soalan format peperiksaan SPM (Versi BM)

Set 1 Kertas 1

Lakaran graf seperti yang ditunjukkan:-

 

Penyelesaian

DAPATKAN AKSES KE SMT-TINGKATAN 4

(VERSI BM & BI) -RM20 SEKARANG !

Nama anda :

emel anda :


*Kategori pelajar

** Tahun peperiksaan SPM yang akan diduduki

( contoh: Tulis   )


ATAU 

Anda boleh terus akses ke SMT-SPM

SMT- SPM (TOPIK TINGKATAN 4 & 5) -RM50

Info tambahan untuk SMT-SPM ( Topik ting 4 & ting 5) :-

Soalan Lanjutan Pemerkasaan (Extended Enrichment Questions)

Tips untuk menjawab soalan peperiksaan matematik tambahan

      SPM -kertas 2

 Pengumuman: Pelajar yang telah melanggan akses ke SMT-Ting 4.

Sekiranya anda ingin akses ke SMT-SPM (Topik Ting 4 & Topik Ting 5),

anda hanya perlu tambah bakinya iaitu RM30.

Pautan untuk pembayaran baki itu ada dalam Halaman Pengenalan SMT-Topik Ting 4.

 

      

©2023   matematiktambahan.com

All Right Reserved Worldwide

No parts of this website may be copied or sold